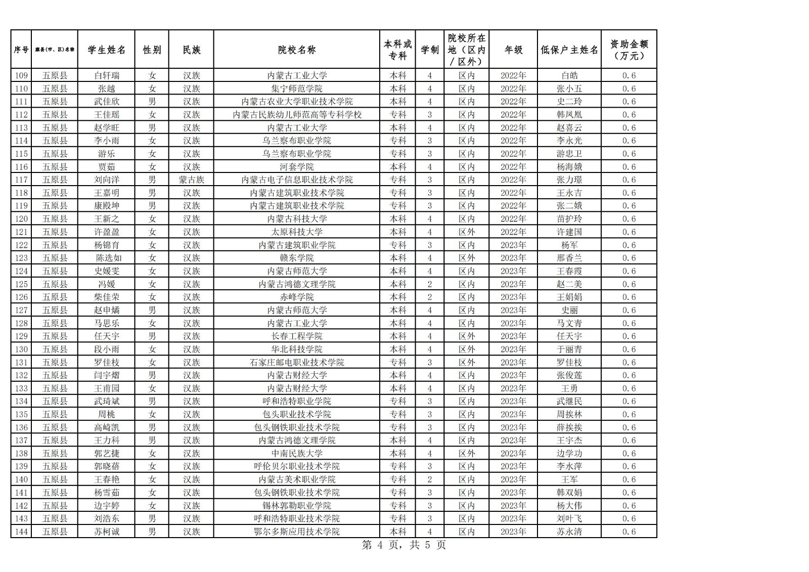
五原县教育局学生资助暨巩固拓展教育脱贫攻坚成果同乡村振兴有效衔接工作专班、五原县乡村振兴局、五原县民政局,对全县各乡镇上报的脱贫享受政策学生、最低生活保障、孤儿进行了审核,拟对以下(8)名脱贫享受政策、(167)名低保、(4)名孤儿家庭经济困难学生进行资助,特别公示如下:
监督电话:五原县学生资助中心(0478)5251844;五原县乡村振兴局(0478)7960760;五原县民政局(0478)5581830。






五原县教育局学生资助暨巩固拓展教育脱贫攻坚成果同乡村振兴有效衔接工作专班、五原县乡村振兴局、五原县民政局,对全县各乡镇上报的脱贫享受政策学生、最低生活保障、孤儿进行了审核,拟对以下(8)名脱贫享受政策、(167)名低保、(4)名孤儿家庭经济困难学生进行资助,特别公示如下:
监督电话:五原县学生资助中心(0478)5251844;五原县乡村振兴局(0478)7960760;五原县民政局(0478)5581830。





AI阅读助手:
本内容提供均基于AI自动总结生成,与主办方无直接关联。查看详情
对本篇文章及关联文件进行提问
停止回答
1、AI阅读助手,旨在为广大互联网用户提供高效、便捷的服务。
2、AI阅读助手,所提供的内容仅供参考。部分答复内容采用AI技术生成,生成式答复内容有歧义或不够准确的,请您阅读其他原文,以原文内容为准。
3、AI阅读助手,所提供的内容与原文内容产生冲突时,请以网页原文的具体内容为准。
4、我们致力于提供准确、有用且客观的信息,但鉴于AI技术的局限性和数据源的多样性,我们无法保证所有内容的绝对准确性、完整性和时效性。用户在使用本平台提供的内容时,应自行判断其准确性和适用性,并承担因使用这些信息可能产生的所有风险和责任。
5、AI阅读助手,提供均基于AI自动解读,与任何主办方或建设方无直接关联,我们对此类内容的准确性、完整性和适用性不承担任何法律责任。用户在使用时请自行判断,并承担相应风险。
语音正在加载中,请稍后...