返回顶部
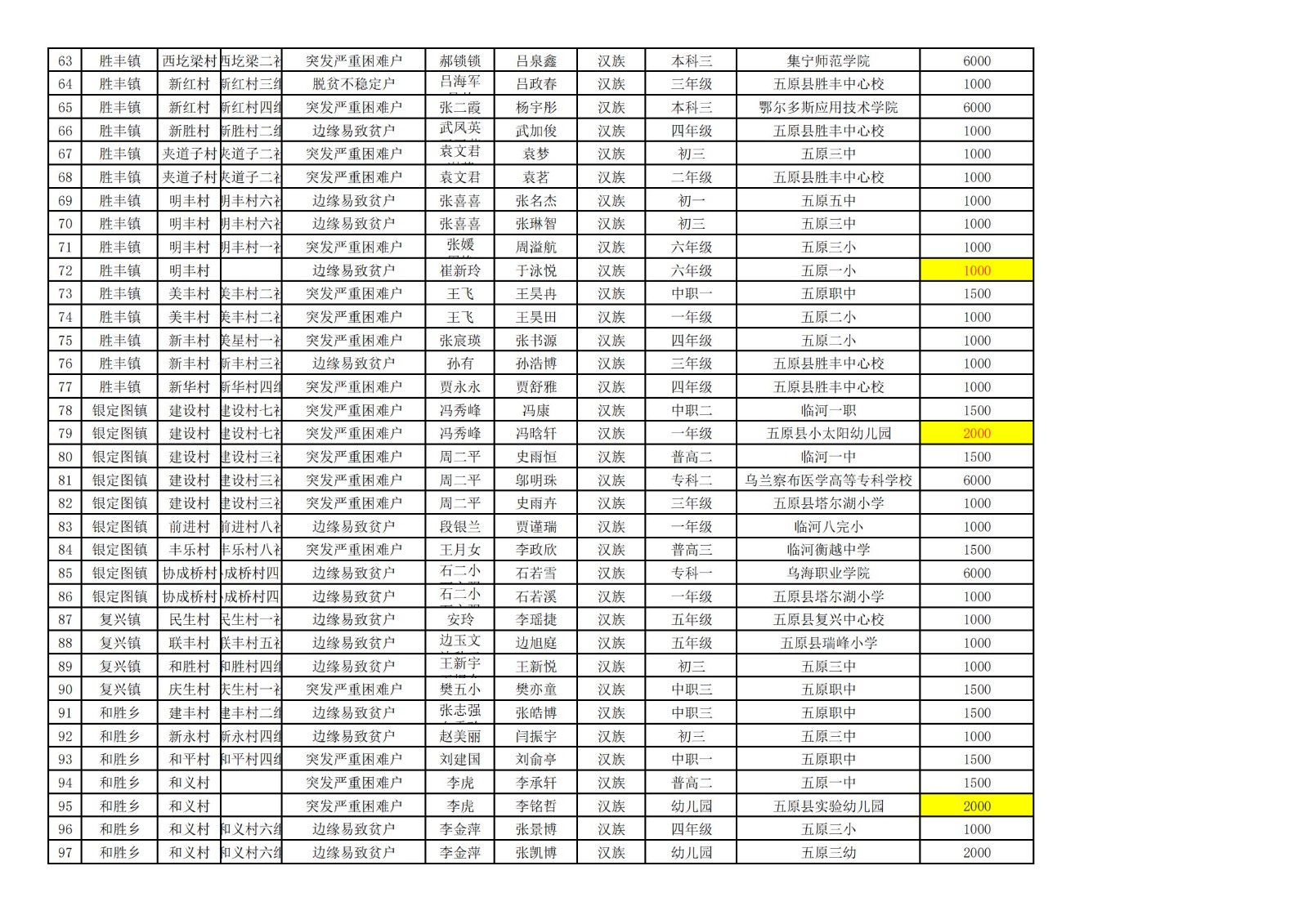
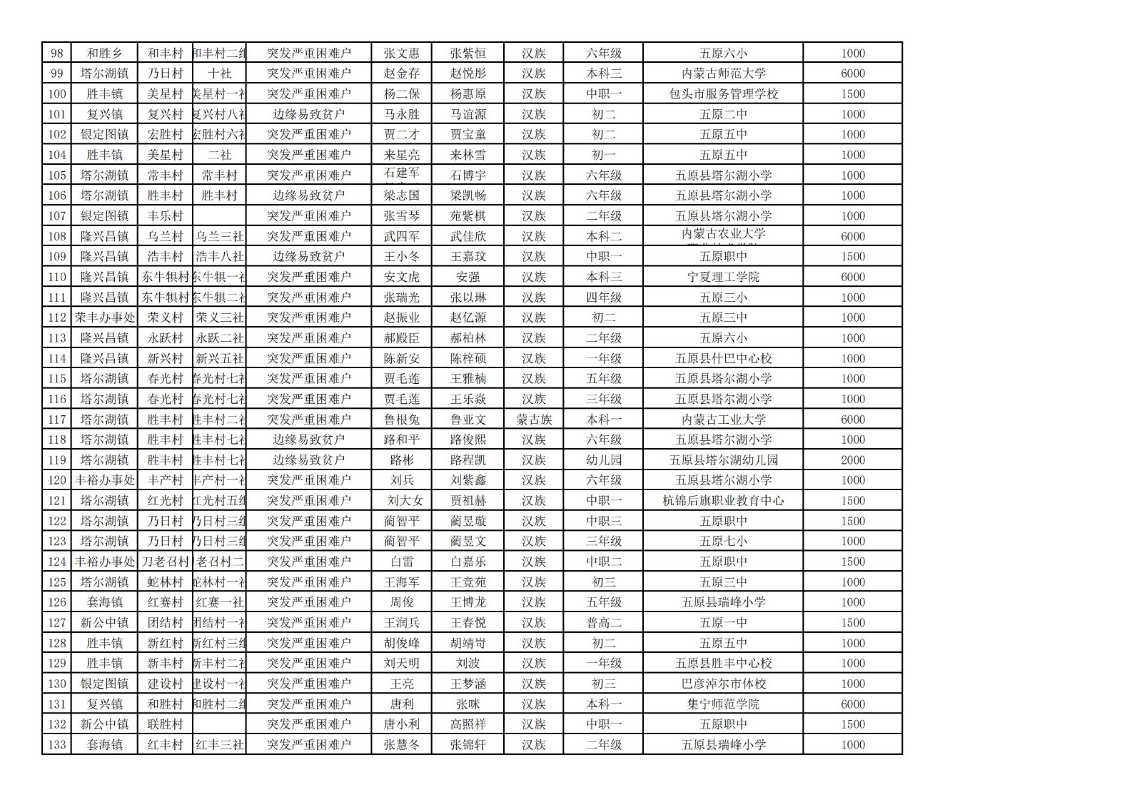
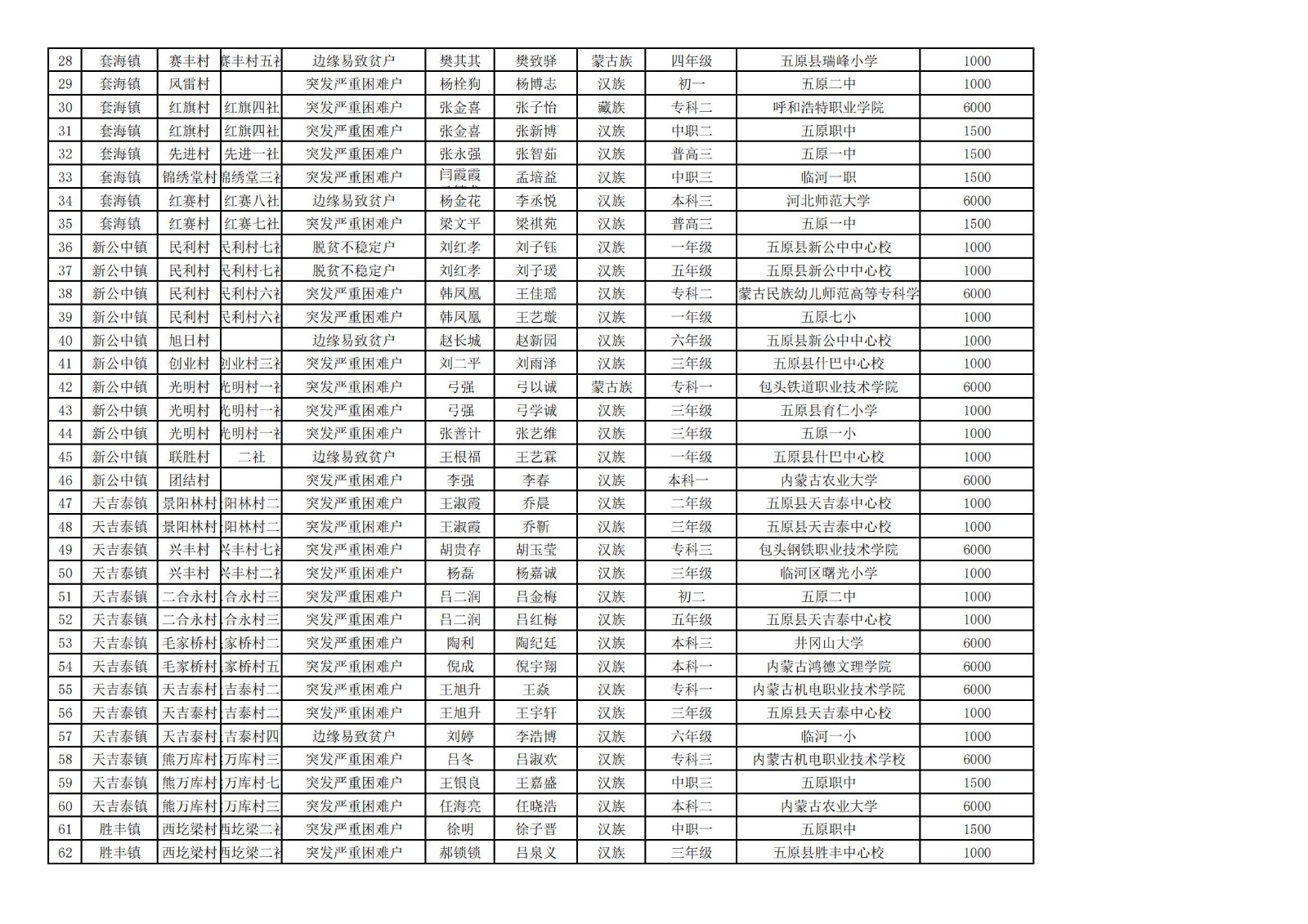
2023年五原县动态监测学生资助名单公示
来源:教育局 发布时间:2023-10-16 16:46 作者:五原县教育局
字体大小: [ ] 全文共计字,预计阅读时间 分钟

2023年脱贫享受政策(218人)和动态监测(139人)资助公示@(20231016)_11.jpg

AI阅读助手:
点击开始解析文章内容,总结生成摘要...
{{ placeholder }}
我要对文章提问

本内容提供均基于AI自动总结生成,与主办方无直接关联。查看详情

对本篇文章及关联文件进行提问

{{ item.title }}
停止回答
免责声明

1、AI阅读助手,旨在为广大互联网用户提供高效、便捷的服务。

2、AI阅读助手,所提供的内容仅供参考。部分答复内容采用AI技术生成,生成式答复内容有歧义或不够准确的,请您阅读其他原文,以原文内容为准。

3、AI阅读助手,所提供的内容与原文内容产生冲突时,请以网页原文的具体内容为准。

4、我们致力于提供准确、有用且客观的信息,但鉴于AI技术的局限性和数据源的多样性,我们无法保证所有内容的绝对准确性、完整性和时效性。用户在使用本平台提供的内容时,应自行判断其准确性和适用性,并承担因使用这些信息可能产生的所有风险和责任。

5、AI阅读助手,提供均基于AI自动解读,与任何主办方或建设方无直接关联,我们对此类内容的准确性、完整性和适用性不承担任何法律责任。用户在使用时请自行判断,并承担相应风险。

语音正在加载中,请稍后...

阅读原文
阅读摘要
浏览次数:
扫一扫在手机打开当前页
打印
保存
关闭